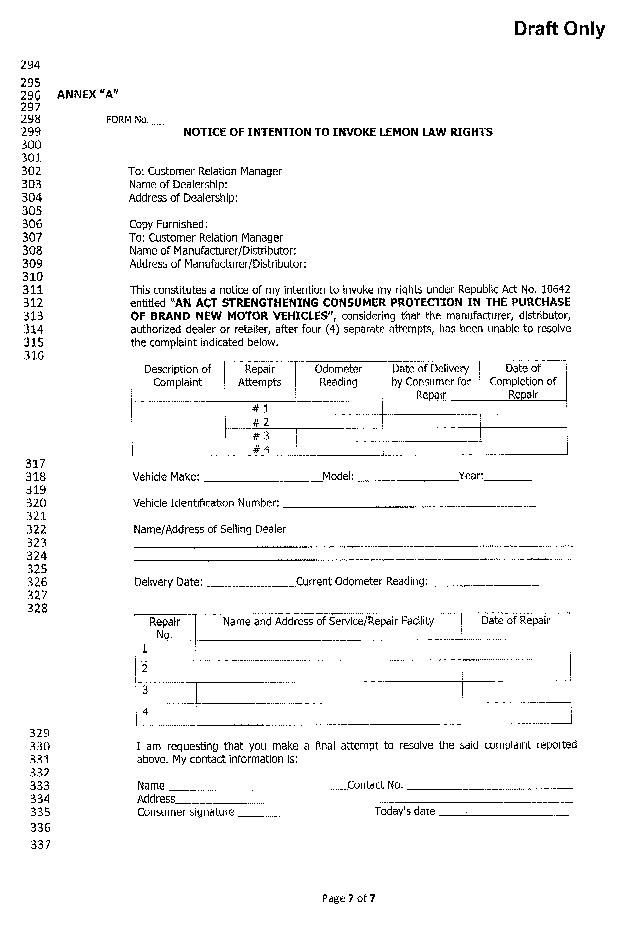
The Implementing Rules and Regulations of one of the most important laws for Filipino car buyers
Today we received a call from the Department of Trade and Industry regarding the hearing for the Implementing Rules and Regulations of Republic Act 10642, otherwise known as the Philippine Lemon Law (An Act Strengthening Consumer Protection in the Purchase of Brand New Motor Vehicles).
Along with the call to attend the hearing, we received the official notice from the DTI as well as the draft of the IRR that will be discussed in full tomorrow.
In the interest of presenting the information to the public, below are the pages of the draft of the IRR for RA 10642. Take the time to read through what could be the most important law for car shoppers in the country.








